# Layout
Layout is a rust library and a stand alone utility that draws graphs. Layout
can parse Graphviz dot files and render them.
[![Latest Version]][crates.io] [![Docs Badge]][docs]
[Latest Version]: https://img.shields.io/crates/v/layout-rs.svg
[crates.io]: https://crates.io/crates/layout-rs
[Docs Badge]: https://docs.rs/layout-rs/badge.svg
[docs]: https://docs.rs/layout-rs
## Library Usage
Add the following to `Cargo.toml`:
```toml
layout-rs = "0.1.2" # or
layout-rs = { version = "0.1.2", features = ["log"] }
```
Load, parse and print the AST:
```rust
use layout::gv;
let contents = "digraph { a -> b [label=\"foo\"]; }";
let mut parser = gv::DotParser::new(&contents);
match parser.process() {
Ok(g) => gv::dump_ast(&g),
Err(err) => {
parser.print_error();
# #[cfg(feature = "log")]
log::error!("Error: {}", err);
}
}
```
The example above would print the program AST, or a readable error message,
such as:
```txt
digraph {
node [fillcolor="purple"] A B;
node [fillcolor="orange"] Z;
node [fillcolor="green"] G; a = ;
^
Error: Expected an identifier.
```
## Command Line Usage
Build the crate and render some dot files with the command
```bash
cargo run --bin layout ./inputs/bk.dot -o output.svg
```
## Gallery
This section presents a few graphs that were rendered from dot files:
A simple graph.

A simple graph with multiple shapes and labels.

A graph with a few style properties.

A large graph that demonstrates the edge crossing elimination optimization.

Unicode, emoji and right-to-left languages:

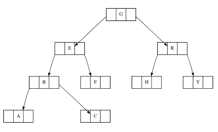
Support for Records (nested structures):

Debug-mode rendering that helps to visualize the layout decisions:
